Официальное опубликование правовых актов
ОФИЦИАЛЬНОЕ ОПУБЛИКОВАНИЕ
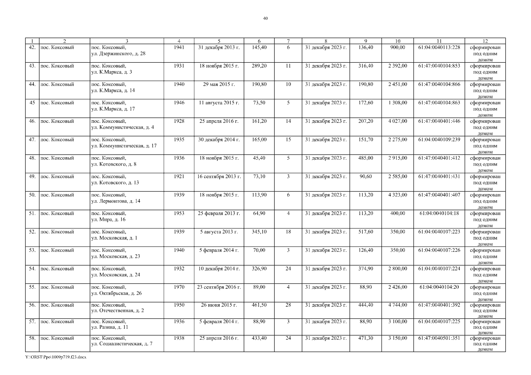
Постановление Правительства Ростовской области от 09.10.2023 № 719
"О внесении изменения в постановление Правительства Ростовской области от 12.08.2016 № 569"
Номер опубликования: 6100202310110005
Дата опубликования: 11.10.2023
Страница №40 из 85:
Увеличить