Официальное опубликование правовых актов
ОФИЦИАЛЬНОЕ ОПУБЛИКОВАНИЕ
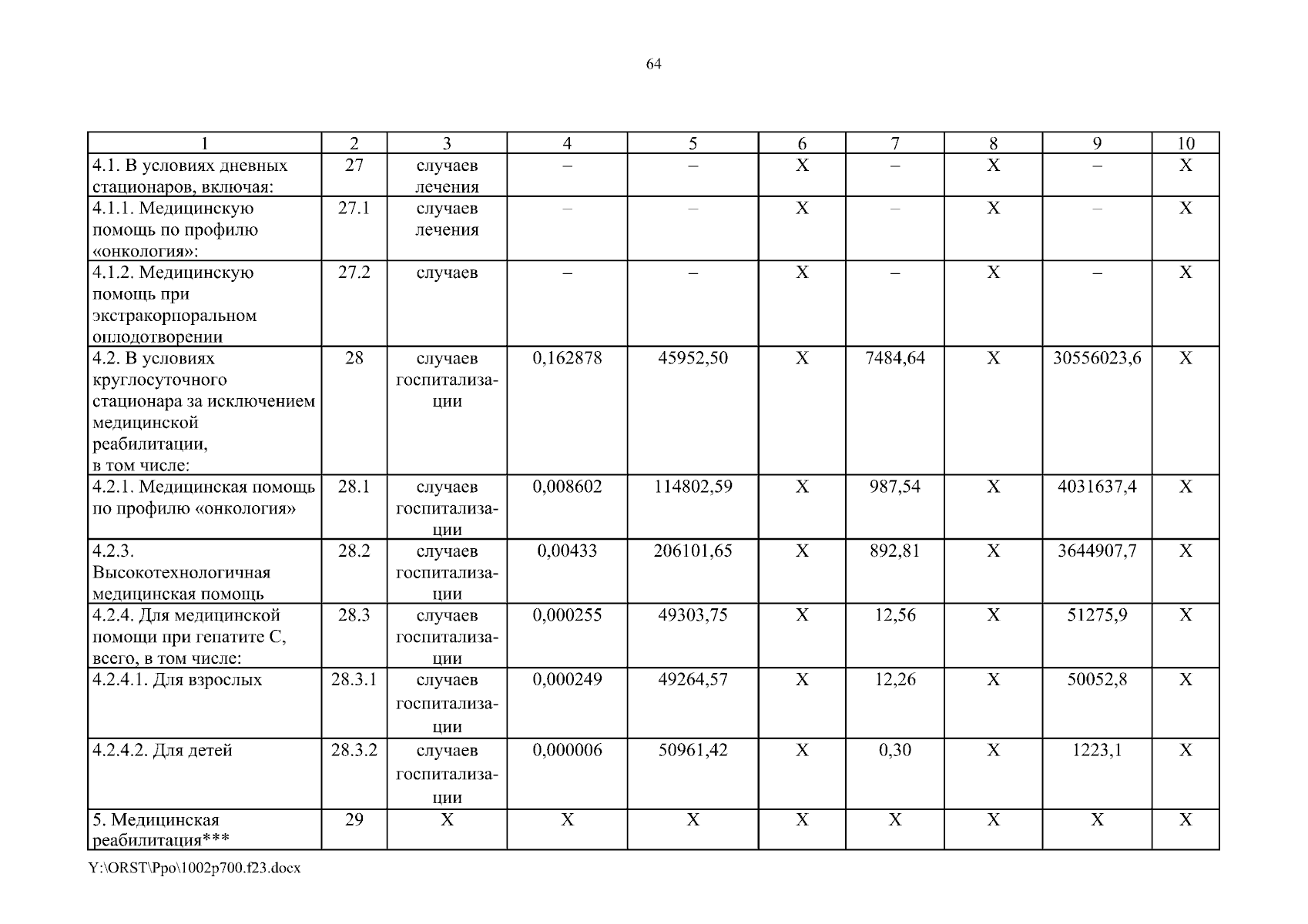
Постановление Правительства Ростовской области от 02.10.2023 № 700
"О внесении изменений в постановление Правительства Ростовской области от 19.12.2022 № 1114"
Номер опубликования: 6100202310030007
Дата опубликования: 03.10.2023
Страница №64 из 114:
Увеличить