Официальное опубликование правовых актов
ОФИЦИАЛЬНОЕ ОПУБЛИКОВАНИЕ
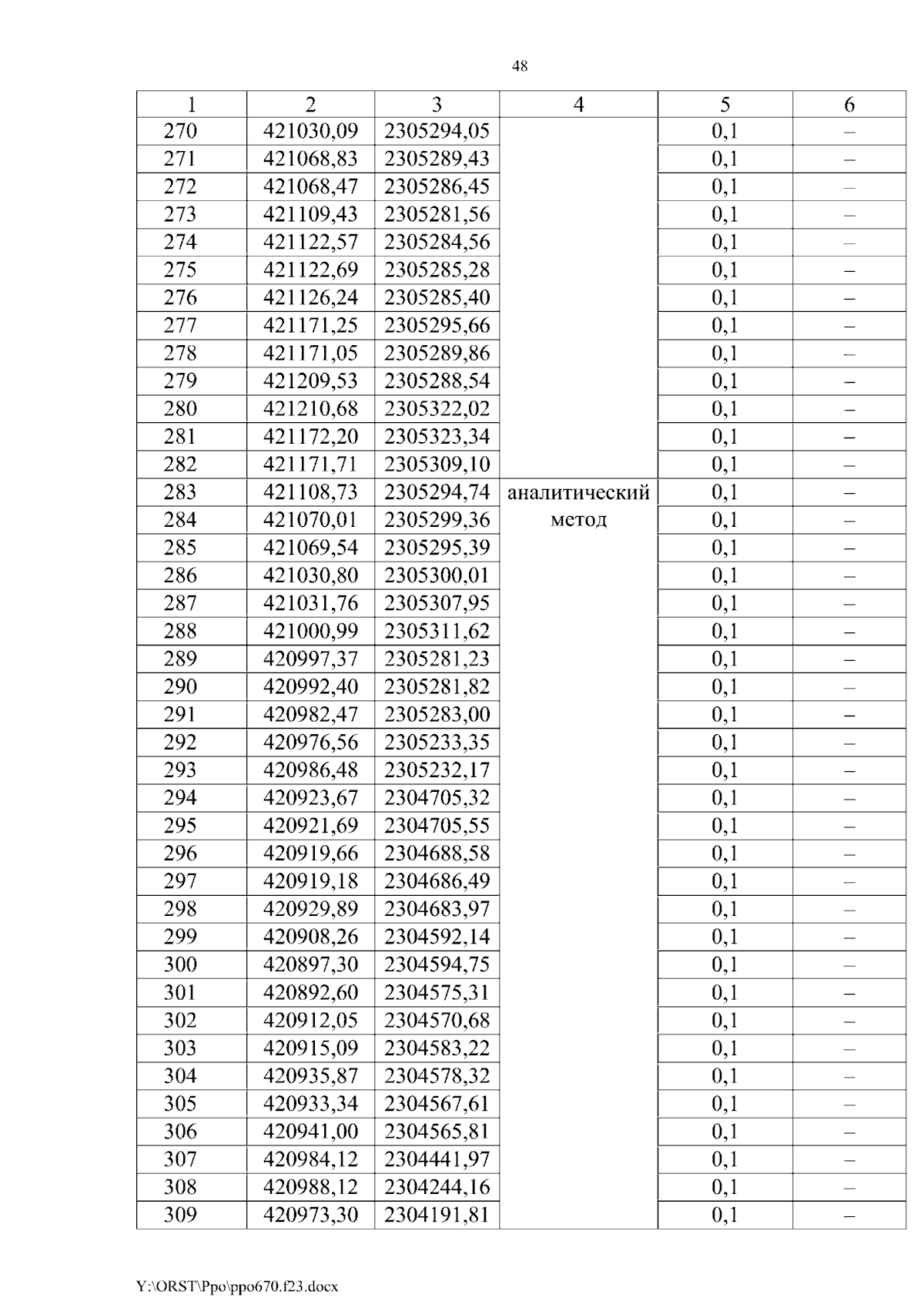
Постановление Правительства Ростовской области от 25.09.2023 № 679
"Об установлении публичного сервитута"
Номер опубликования: 6100202309270005
Дата опубликования: 27.09.2023
Страница №48 из 54:
Увеличить