Официальное опубликование правовых актов
ОФИЦИАЛЬНОЕ ОПУБЛИКОВАНИЕ
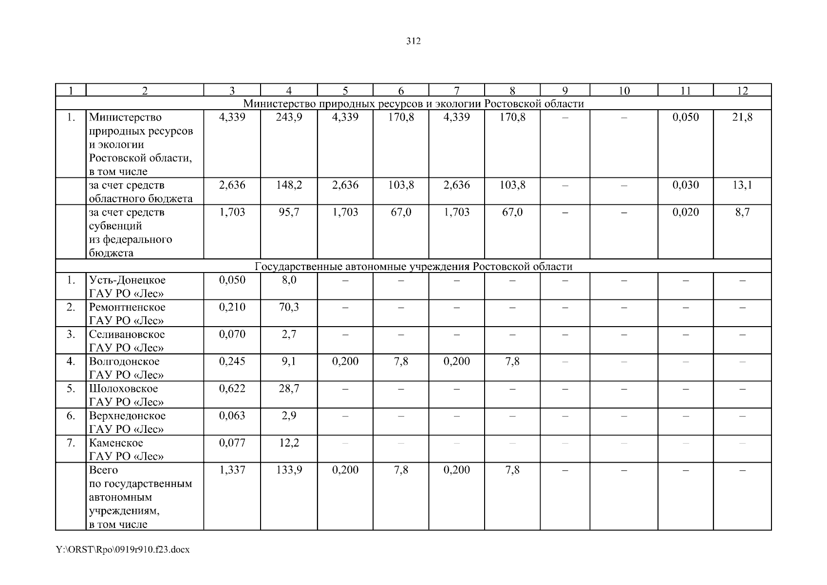
Распоряжение Правительства Ростовской области от 19.09.2023 № 910
"О прогнозных объемах финансирования и лимитах потребления на услуги по водоснабжению, водоотведению и вывозу жидких бытовых отходов на 2024 год и плановый период 2025 и 2026 годов"
Номер опубликования: 6100202309210001
Дата опубликования: 21.09.2023
Страница №312 из 612:
Увеличить