Официальное опубликование правовых актов
ОФИЦИАЛЬНОЕ ОПУБЛИКОВАНИЕ
Распоряжение Губернатора Ростовской области от 01.09.2023 № 212
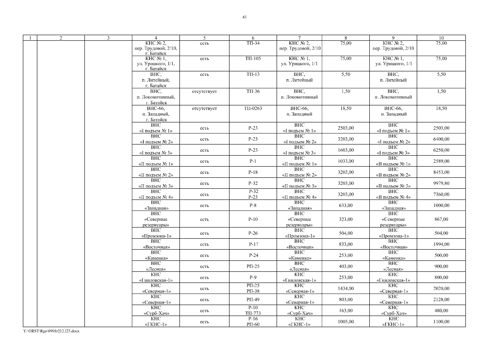
"Об утверждении Перечня потребителей электрической энергии (мощности) Ростовской области, ограничение режима потребления электрической энергии которых может привести к экономическим, экологическим, социальным последствиям"
Номер опубликования: 6100202309050005
Дата опубликования: 05.09.2023
Страница №43 из 373:
Увеличить