Официальное опубликование правовых актов
ОФИЦИАЛЬНОЕ ОПУБЛИКОВАНИЕ
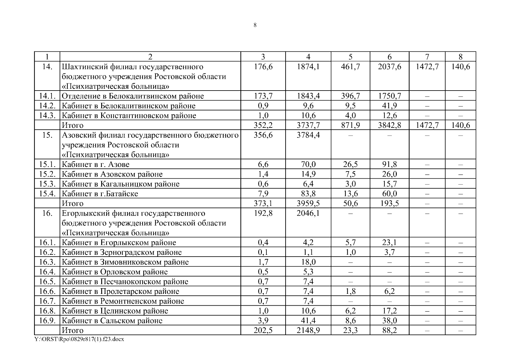
Распоряжение Правительства Ростовской области от 29.08.2023 № 817
"О прогнозных объемах финансирования и лимитах потребления топливно-энергетических ресурсов на 2024 год и плановый период 2025 и 2026 годов"
Номер опубликования: 6100202308310004
Дата опубликования: 31.08.2023
Страница №8 из 575:
Увеличить