Официальное опубликование правовых актов
ОФИЦИАЛЬНОЕ ОПУБЛИКОВАНИЕ
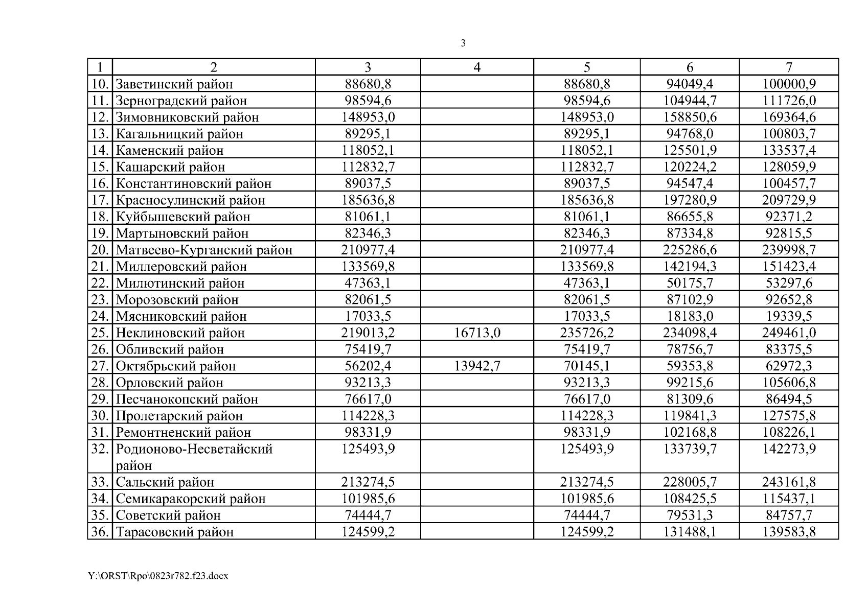
Распоряжение Правительства Ростовской области от 23.08.2023 № 782
"О внесении изменений в распределение объемов субвенции бюджетам муниципальных районов и городских округов на 2023 год и на плановый период 2024 и 2025 годов"
Номер опубликования: 6100202308240004
Дата опубликования: 24.08.2023
Страница №3 из 4:
Увеличить