Официальное опубликование правовых актов
ОФИЦИАЛЬНОЕ ОПУБЛИКОВАНИЕ
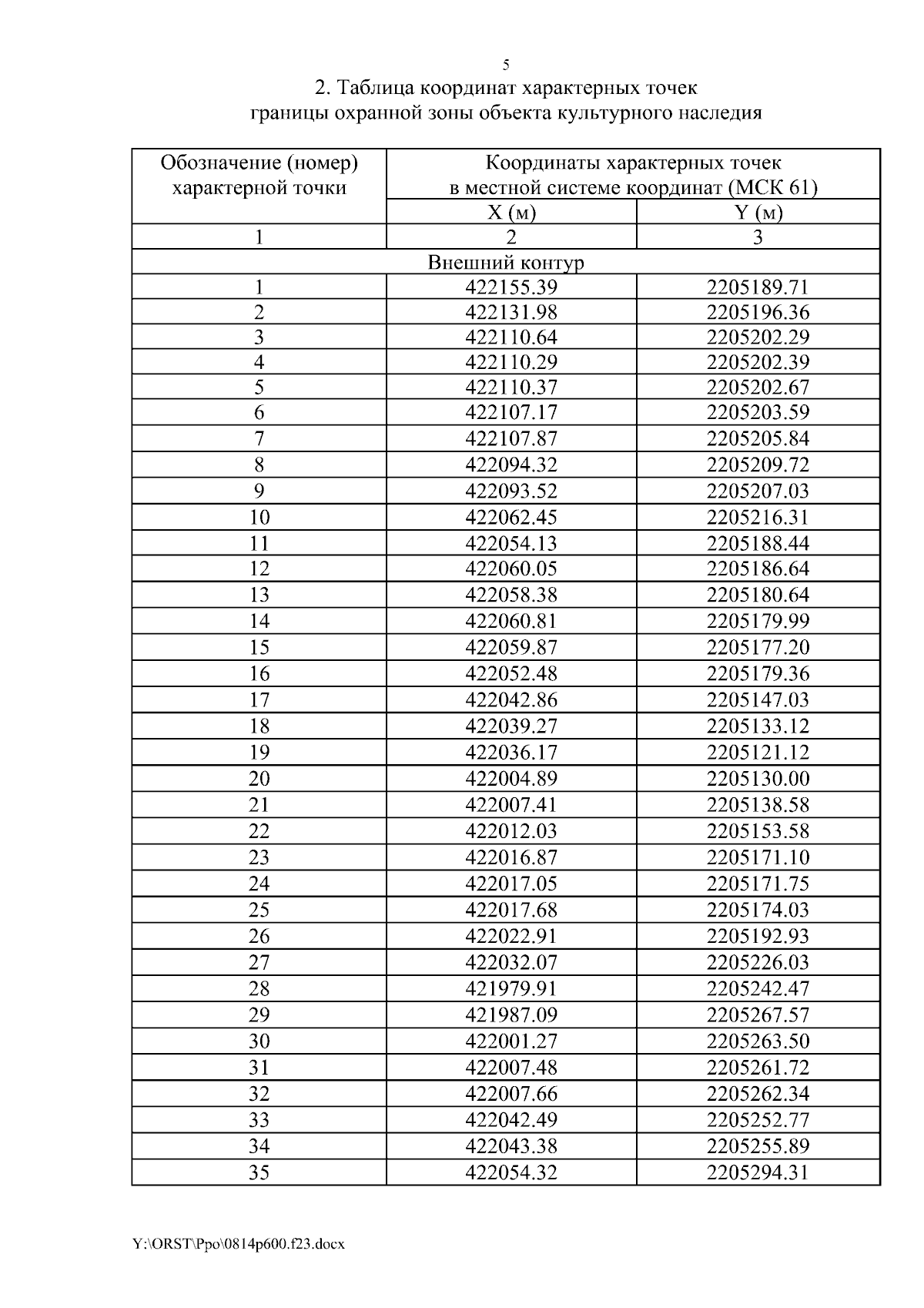
Постановление Правительства Ростовской области от 14.08.2023 № 600
"Об установлении зон охраны объекта культурного наследия регионального значения "Доходный дом К.А. Ворожеина" и утверждении требований к градостроительным регламентам в границах территорий данных зон"
Номер опубликования: 6100202308150010
Дата опубликования: 15.08.2023
Страница №5 из 12:
Увеличить