Официальное опубликование правовых актов
ОФИЦИАЛЬНОЕ ОПУБЛИКОВАНИЕ
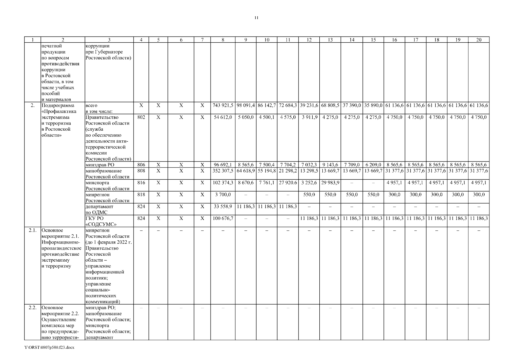
Постановление Правительства Ростовской области от 07.08.2023 № 580
"О внесении изменений в постановление Правительства Ростовской области от 26.10.2018 № 678"
Номер опубликования: 6100202308100003
Дата опубликования: 10.08.2023
Страница №11 из 25:
Увеличить