Официальное опубликование правовых актов
ОФИЦИАЛЬНОЕ ОПУБЛИКОВАНИЕ
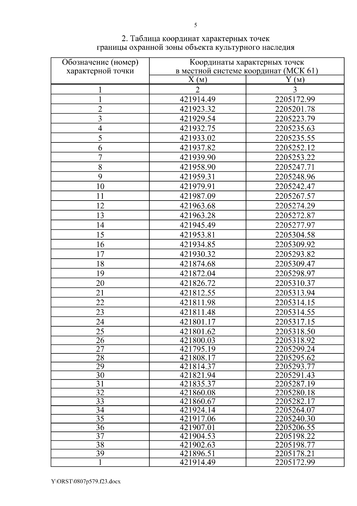
Постановление Правительства Ростовской области от 07.08.2023 № 579
"Об установлении зон охраны объекта культурного наследия регионального значения "Комплекс зданий Александровской еврейской больницы" и утверждении требований к градостроительным регламентам в границах территорий данных зон"
Номер опубликования: 6100202308100002
Дата опубликования: 10.08.2023
Страница №5 из 11:
Увеличить