Официальное опубликование правовых актов
ОФИЦИАЛЬНОЕ ОПУБЛИКОВАНИЕ
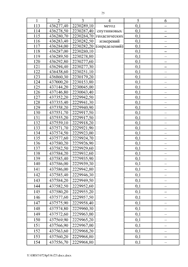
Постановление Правительства Ростовской области от 24.07.2023 № 536
"Об установлении публичного сервитута"
Номер опубликования: 6100202307250008
Дата опубликования: 25.07.2023
Страница №25 из 31:
Увеличить