Официальное опубликование правовых актов
ОФИЦИАЛЬНОЕ ОПУБЛИКОВАНИЕ
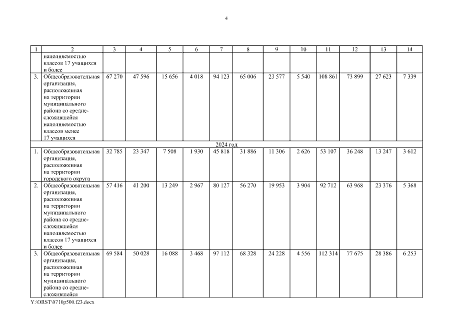
Постановление Правительства Ростовской области от 10.07.2023 № 500
"О внесении изменений в постановление Правительства Ростовской области от 23.12.2022 № 1127"
Номер опубликования: 6100202307110005
Дата опубликования: 11.07.2023
Страница №4 из 55:
Увеличить