Официальное опубликование правовых актов
ОФИЦИАЛЬНОЕ ОПУБЛИКОВАНИЕ
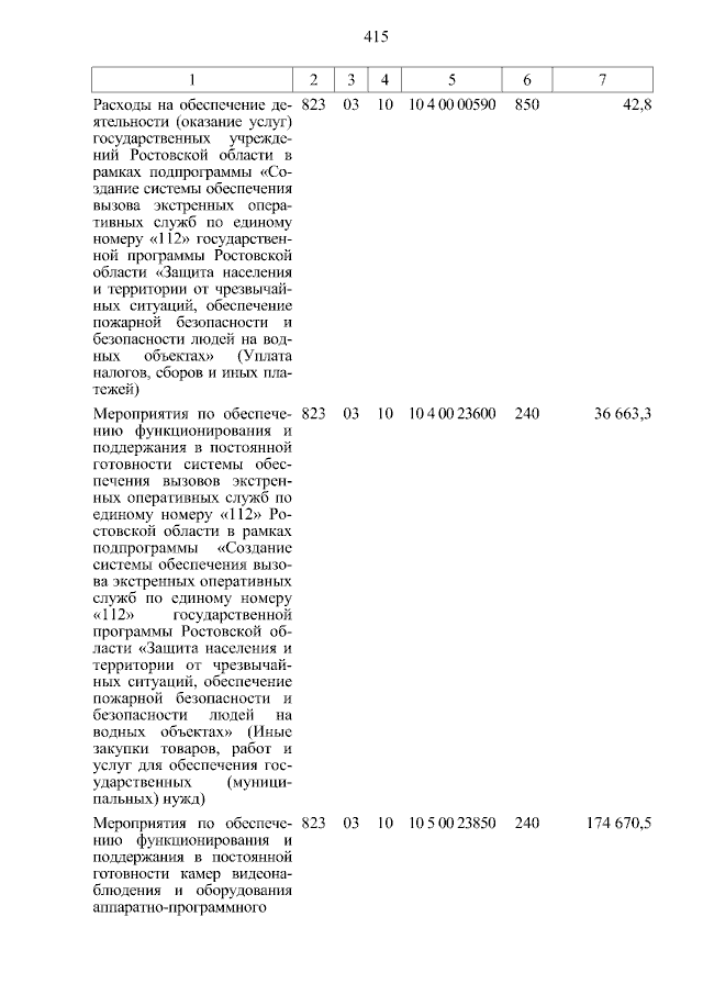
Областной закон Ростовской области от 05.07.2023 № 894-ЗС
"Об отчете об исполнении областного бюджета за 2022 год"
Номер опубликования: 6100202307060014
Дата опубликования: 06.07.2023
Страница №664 из 764:
Увеличить