Официальное опубликование правовых актов
ОФИЦИАЛЬНОЕ ОПУБЛИКОВАНИЕ
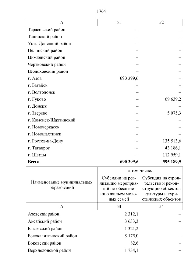
Областной закон Ростовской области от 30.06.2023 № 890-ЗС
"О внесении изменений в Областной закон "Об областном бюджете на 2023 год и на плановый период 2024 и 2025 годов"
Номер опубликования: 6100202307030002
Дата опубликования: 03.07.2023
Страница №1764 из 1901:
Увеличить