Официальное опубликование правовых актов
ОФИЦИАЛЬНОЕ ОПУБЛИКОВАНИЕ
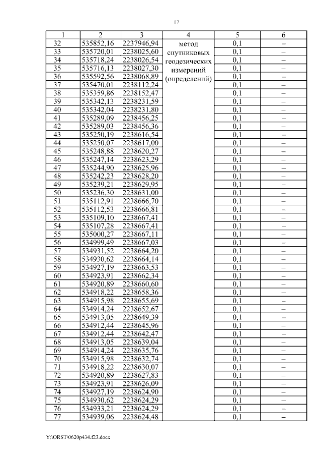
Постановление Правительства Ростовской области от 20.06.2023 № 434
"Об установлении публичного сервитута"
Номер опубликования: 6100202306210018
Дата опубликования: 21.06.2023
Страница №17 из 22:
Увеличить