Официальное опубликование правовых актов
ОФИЦИАЛЬНОЕ ОПУБЛИКОВАНИЕ
Постановление Правительства Ростовской области от 05.06.2023 № 410
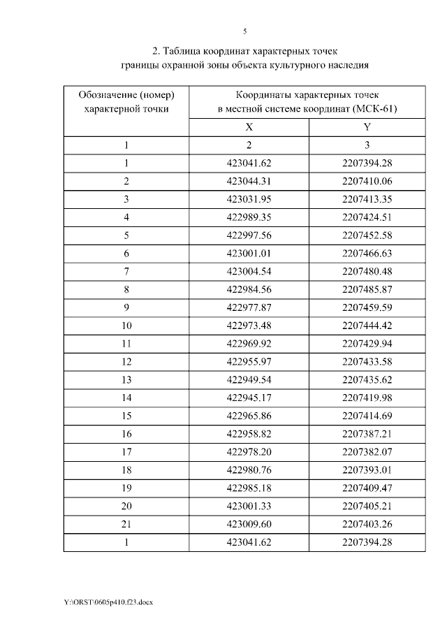
"Об установлении зон охраны объекта культурного наследия регионального значения "Жилой дом Р. Сармакешевой" и утверждении требований к градостроительным регламентам в границах территорий данных зон"
Номер опубликования: 6100202306070005
Дата опубликования: 07.06.2023
Страница №5 из 12:
Увеличить