Официальное опубликование правовых актов
ОФИЦИАЛЬНОЕ ОПУБЛИКОВАНИЕ
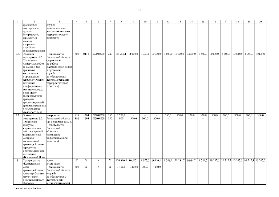
Постановление Правительства Ростовской области от 05.06.2023 № 409
"О внесении изменений в постановление Правительства Ростовской области от 26.10.2018 № 678"
Номер опубликования: 6100202306070004
Дата опубликования: 07.06.2023
Страница №12 из 23:
Увеличить