Официальное опубликование правовых актов
ОФИЦИАЛЬНОЕ ОПУБЛИКОВАНИЕ
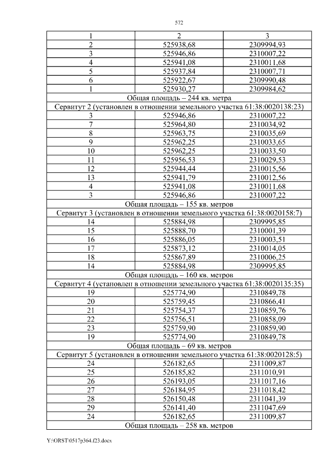
Постановление Правительства Ростовской области от 17.05.2023 № 364
"Об утверждении проекта планировки и проекта межевания территории размещения линейного объекта "Водоснабжение Белокалитвинского, Тацинского районов от Усть-Бобровского месторождения"
Номер опубликования: 6100202305190025
Дата опубликования: 19.05.2023
Страница №572 из 593:
Увеличить