Официальное опубликование правовых актов
ОФИЦИАЛЬНОЕ ОПУБЛИКОВАНИЕ
Постановление Правительства Ростовской области от 24.04.2023 № 310
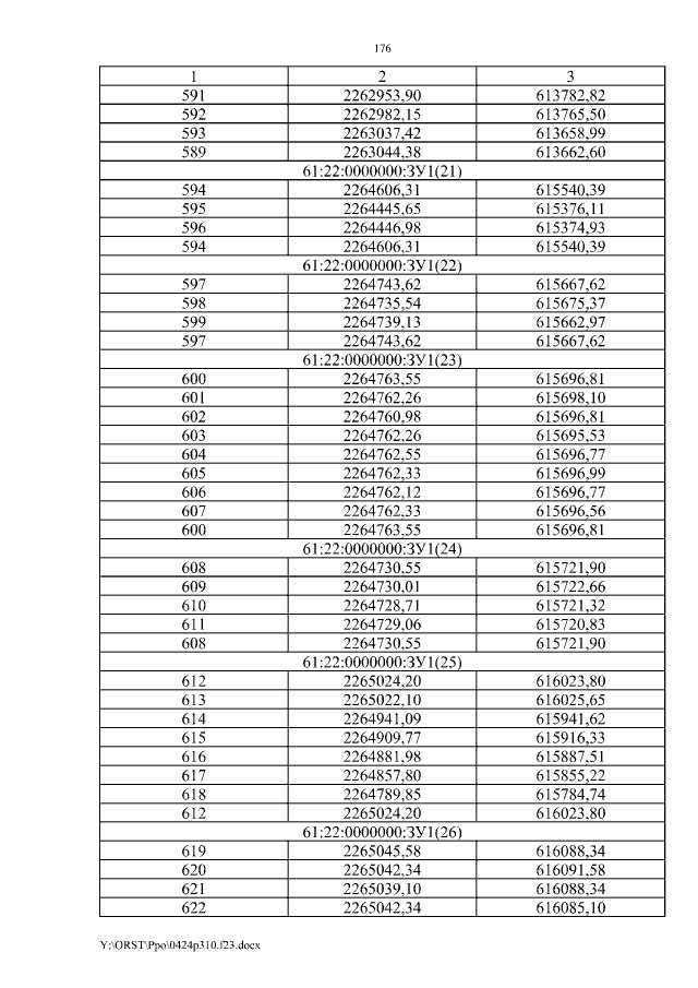
"Об утверждении проекта изменений в проект планировки и проект межевания территории размещения линейного объекта "Реконструкция автомобильной дороги общего пользования регионального значения г. Миллерово – ст. Вешенская на участке км 5 + 350 – км 18 + 800 в Миллеровском районе"
Номер опубликования: 6100202304260006
Дата опубликования: 26.04.2023
Страница №176 из 214:
Увеличить