Официальное опубликование правовых актов
ОФИЦИАЛЬНОЕ ОПУБЛИКОВАНИЕ
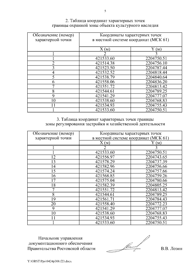
Постановление Правительства Ростовской области от 24.04.2023 № 308
"Об установлении зон охраны объекта культурного наследия регионального значения "Дом М.Т. Косика" и утверждении требований к градостроительным регламентам в границах территорий данных зон"
Номер опубликования: 6100202304250005
Дата опубликования: 25.04.2023
Страница №5 из 10:
Увеличить