Официальное опубликование правовых актов
ОФИЦИАЛЬНОЕ ОПУБЛИКОВАНИЕ
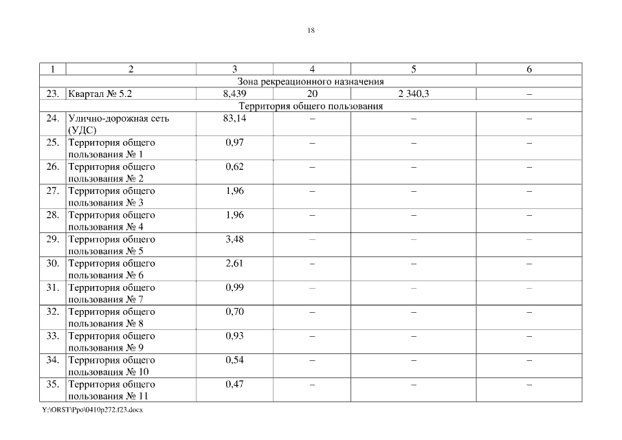
Постановление Правительства Ростовской области от 10.04.2023 № 272
"Об утверждении документации по планировке территории, расположенной в границах муниципальных образований "Город Ростов-на-Дону" и "Аксайское городское поселение" общей площадью 367,86 гектара, подлежащей комплексному развитию в соответствии с решением о комплексном развитии территории"
Номер опубликования: 6100202304100008
Дата опубликования: 10.04.2023
Страница №18 из 324:
Увеличить