Официальное опубликование правовых актов
ОФИЦИАЛЬНОЕ ОПУБЛИКОВАНИЕ
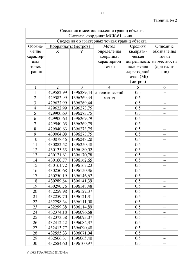
Постановление Правительства Ростовской области от 27.03.2023 № 228
"Об установлении публичного сервитута"
Номер опубликования: 6100202303280012
Дата опубликования: 28.03.2023
Страница №30 из 33:
Увеличить