Официальное опубликование правовых актов
ОФИЦИАЛЬНОЕ ОПУБЛИКОВАНИЕ
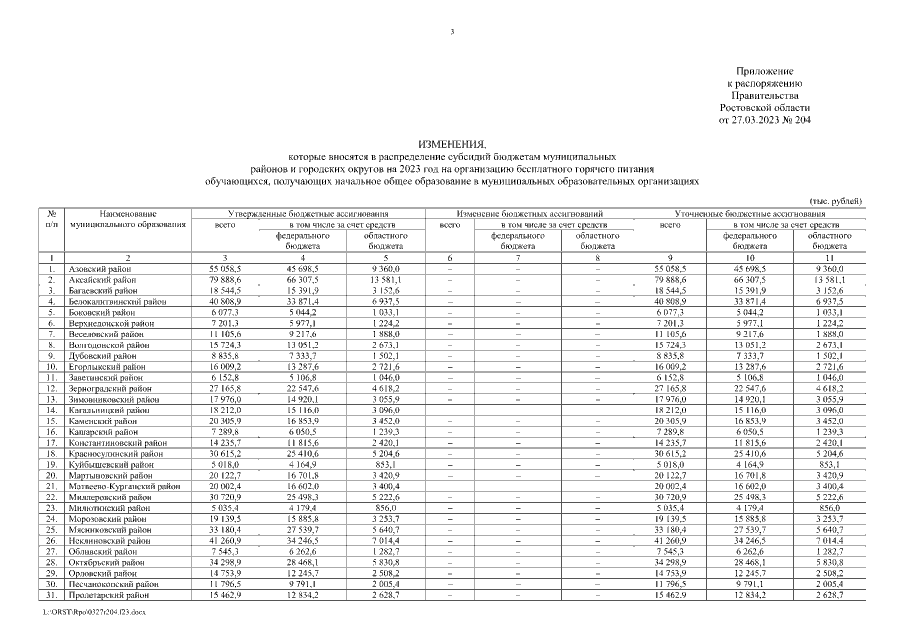
Распоряжение Правительства Ростовской области от 27.03.2023 № 204
"О внесении изменений в распределение субсидии на организацию бесплатного горячего питания обучающихся, получающих начальное общее образование в муниципальных образовательных организациях, в 2023 году"
Номер опубликования: 6100202303280004
Дата опубликования: 28.03.2023
Страница №3 из 4:
Увеличить