Официальное опубликование правовых актов
ОФИЦИАЛЬНОЕ ОПУБЛИКОВАНИЕ
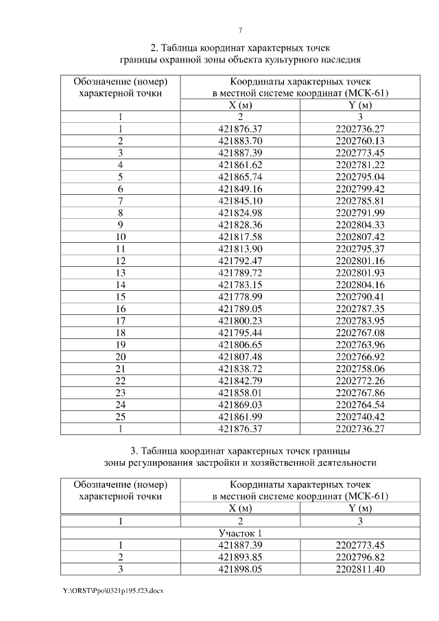
Постановление Правительства Ростовской области от 21.03.2023 № 195
"Об установлении зон охраны объекта культурного наследия регионального значения "Домовладение А.М. Найдыка" и утверждении требований к градостроительным регламентам в границах территорий данных зон"
Номер опубликования: 6100202303220014
Дата опубликования: 22.03.2023
Страница №7 из 13:
Увеличить