Официальное опубликование правовых актов
ОФИЦИАЛЬНОЕ ОПУБЛИКОВАНИЕ
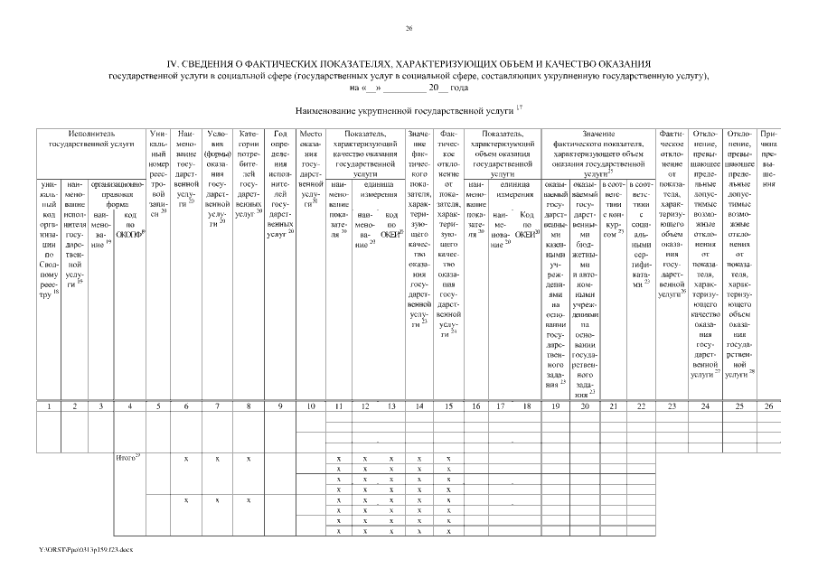
Постановление Правительства Ростовской области от 13.03.2023 № 159
"О Порядке формирования государственных социальных заказов на оказание государственных услуг в социальной сфере, отнесенных к полномочиям органов государственной власти Ростовской области, о форме и сроках формирования отчета об их исполнении"
Номер опубликования: 6100202303150019
Дата опубликования: 15.03.2023
Страница №26 из 28:
Увеличить