Официальное опубликование правовых актов
ОФИЦИАЛЬНОЕ ОПУБЛИКОВАНИЕ
Постановление Правительства Ростовской области от 27.02.2023 № 93
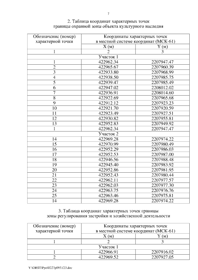
"Об установлении зон охраны объекта культурного наследия регионального значения "Дом С. Бароновой" и утверждении требований к градостроительным регламентам в границах территорий данных зон"
Номер опубликования: 6100202302280018
Дата опубликования: 28.02.2023
Страница №7 из 11:
Увеличить