Официальное опубликование правовых актов
ОФИЦИАЛЬНОЕ ОПУБЛИКОВАНИЕ
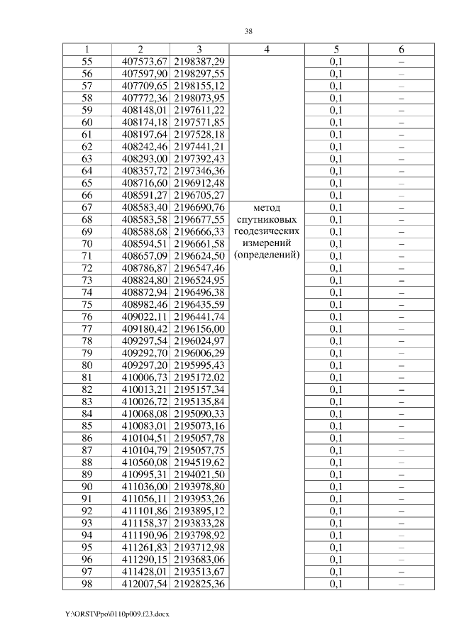
Постановление Правительства Ростовской области от 10.01.2023 № 9
"Об установлении публичного сервитута"
Номер опубликования: 6100202301110009
Дата опубликования: 11.01.2023
Страница №38 из 41:
Увеличить