Официальное опубликование правовых актов
ОФИЦИАЛЬНОЕ ОПУБЛИКОВАНИЕ
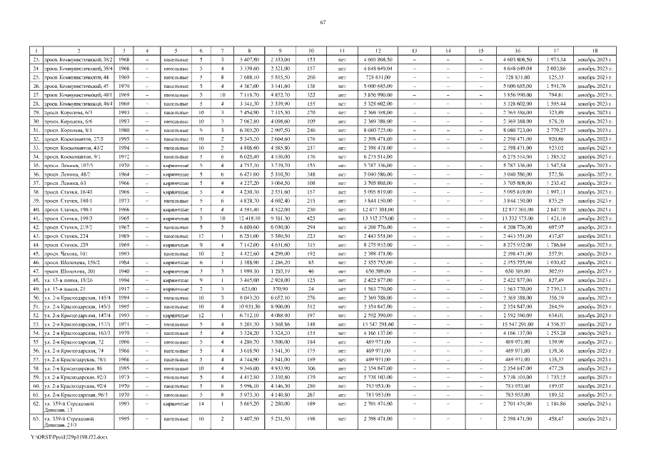
Постановление Правительства Ростовской области от 29.12.2022 № 1198
"Об утверждении краткосрочного плана реализации Региональной программы по проведению капитального ремонта общего имущества в многоквартирных домах на территории Ростовской области на 2014 ‒ 2049 годы на 2023 год и плановый период 2024 и 2025 годов"
Номер опубликования: 6100202301040006
Дата опубликования: 04.01.2023
Страница №67 из 407:
Увеличить