Официальное опубликование правовых актов
ОФИЦИАЛЬНОЕ ОПУБЛИКОВАНИЕ
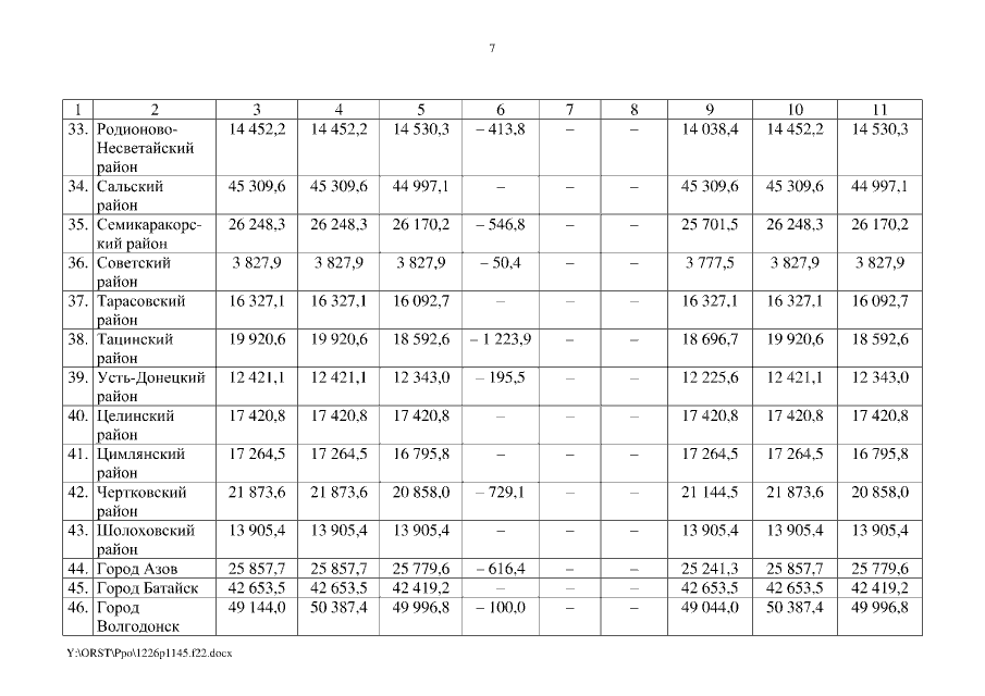
Постановление Правительства Ростовской области от 26.12.2022 № 1145
"О перераспределении бюджетных ассигнований"
Номер опубликования: 6100202212270010
Дата опубликования: 27.12.2022
Страница №7 из 8:
Увеличить