Официальное опубликование правовых актов
ОФИЦИАЛЬНОЕ ОПУБЛИКОВАНИЕ
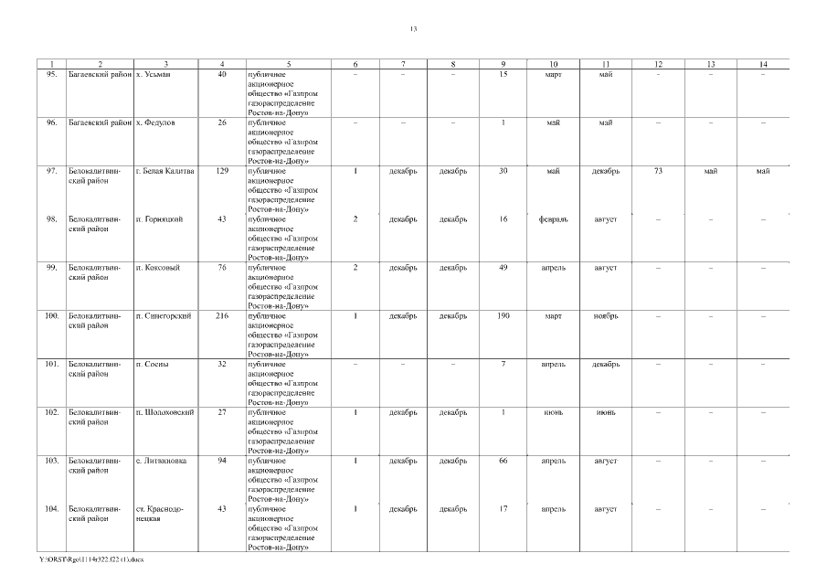
Распоряжение Губернатора Ростовской области от 14.11.2022 № 322
"О внесении изменений в распоряжение Губернатора Ростовской области от 25.04.2018 № 100"
Номер опубликования: 6100202211170013
Дата опубликования: 17.11.2022
Страница №13 из 1155:
Увеличить