Официальное опубликование правовых актов
ОФИЦИАЛЬНОЕ ОПУБЛИКОВАНИЕ
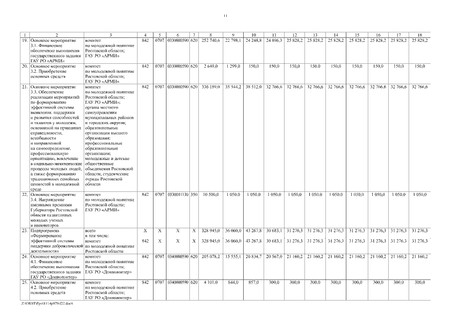
Постановление Правительства Ростовской области от 14.11.2022 № 979
"О внесении изменений в постановление Правительства Ростовской области от 19.10.2020 № 100"
Номер опубликования: 6100202211160001
Дата опубликования: 16.11.2022
Страница №11 из 19:
Увеличить