Официальное опубликование правовых актов
ОФИЦИАЛЬНОЕ ОПУБЛИКОВАНИЕ
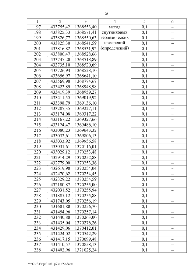
Постановление Правительства Ростовской области от 31.10.2022 № 934
"Об установлении публичного сервитута"
Номер опубликования: 6100202211020010
Дата опубликования: 02.11.2022
Страница №28 из 30:
Увеличить