Официальное опубликование правовых актов
ОФИЦИАЛЬНОЕ ОПУБЛИКОВАНИЕ
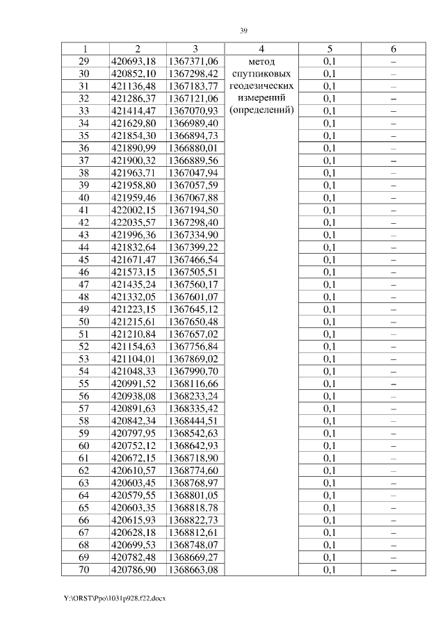
Постановление Правительства Ростовской области от 31.10.2022 № 928
"Об установлении публичного сервитута"
Номер опубликования: 6100202211020005
Дата опубликования: 02.11.2022
Страница №39 из 49:
Увеличить