Официальное опубликование правовых актов
ОФИЦИАЛЬНОЕ ОПУБЛИКОВАНИЕ
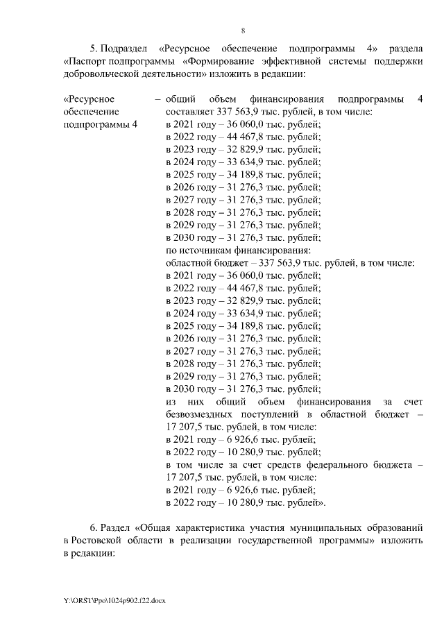
Постановление Правительства Ростовской области от 24.10.2022 № 902
"О внесении изменений в постановление Правительства Ростовской области от 19.10.2020 № 100"
Номер опубликования: 6100202210250012
Дата опубликования: 25.10.2022
Страница №8 из 38:
Увеличить