Официальное опубликование правовых актов
ОФИЦИАЛЬНОЕ ОПУБЛИКОВАНИЕ
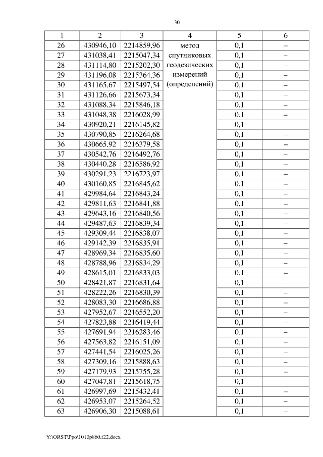
Постановление Правительства Ростовской области от 10.10.2022 № 860
"Об установлении публичного сервитута"
Номер опубликования: 6100202210120004
Дата опубликования: 12.10.2022
Страница №30 из 34:
Увеличить