Официальное опубликование правовых актов
ОФИЦИАЛЬНОЕ ОПУБЛИКОВАНИЕ
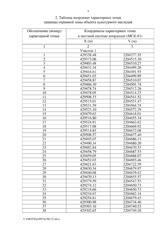
Постановление Правительства Ростовской области от 23.09.2022 № 780
"Об установлении зон охраны объекта культурного наследия федерального значения (ансамбля) "Мемориальный комплекс "Сурб-Хач", связанный с жизнью деятелей армянской культуры М. Налбандяна, Р. Патканяна, А. Аламдаряна" и утверждении требований к градостроительным регламентам в границах территорий данных зон"
Номер опубликования: 6100202209260010
Дата опубликования: 26.09.2022
Страница №9 из 18:
Увеличить