Официальное опубликование правовых актов
ОФИЦИАЛЬНОЕ ОПУБЛИКОВАНИЕ
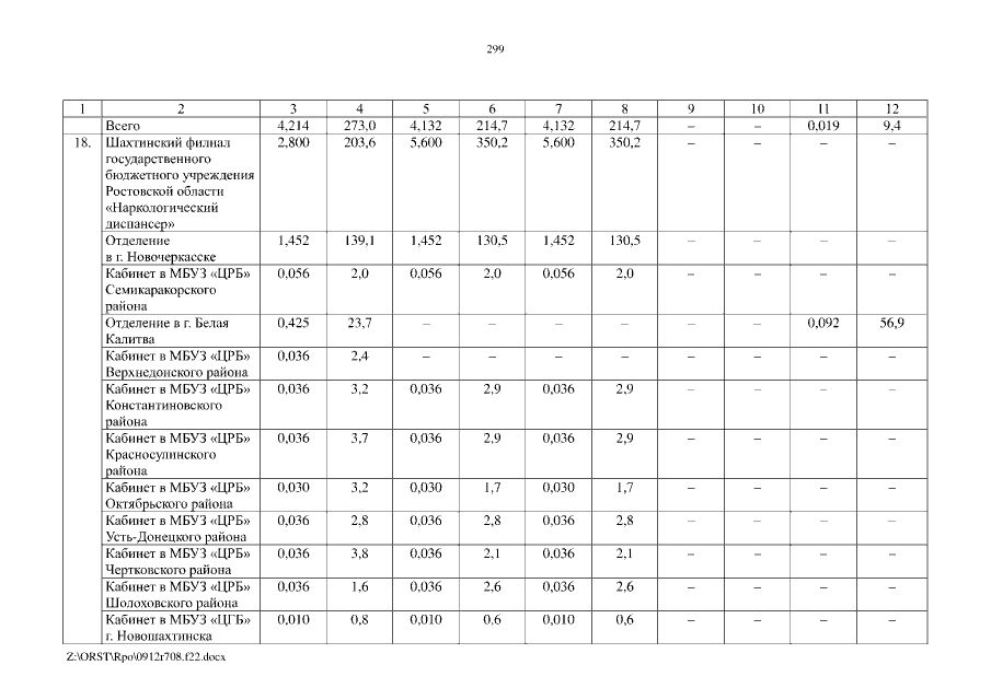
Распоряжение Правительства Ростовской области от 12.09.2022 № 708
"О прогнозных объемах финансирования и лимитах потребления на услуги по водоснабжению, водоотведению и вывозу жидких бытовых отходов на 2023 год и плановый период 2024 и 2025 годов"
Номер опубликования: 6100202209140001
Дата опубликования: 14.09.2022
Страница №299 из 530:
Увеличить