Официальное опубликование правовых актов
ОФИЦИАЛЬНОЕ ОПУБЛИКОВАНИЕ
Постановление Правительства Ростовской области от 08.09.2022 № 741
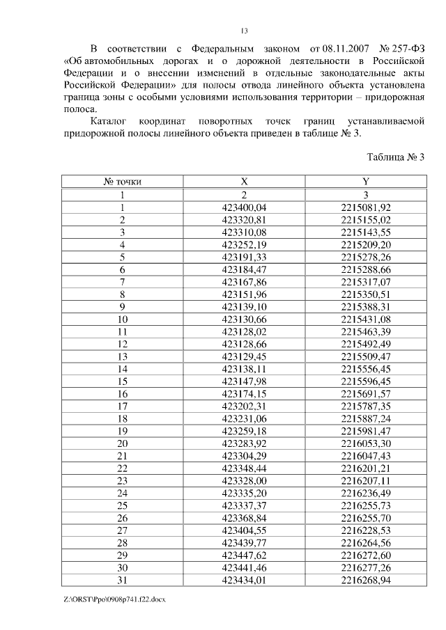
"Об утверждении проекта планировки и проекта межевания территории размещения линейного объекта "Реконструкция автомобильной дороги общего пользования регионального значения "Магистраль "Дон" – ст. Ольгинская – х. Верхнеподпольный – автодорога г. Ростов-на-Дону (от магистрали "Дон") – г. Семикаракорск – г. Волгодонск на участке км 0 + 000 – км 1 + 700 в Аксайском районе"
Номер опубликования: 6100202209120005
Дата опубликования: 12.09.2022
Страница №13 из 43:
Увеличить