Официальное опубликование правовых актов
ОФИЦИАЛЬНОЕ ОПУБЛИКОВАНИЕ
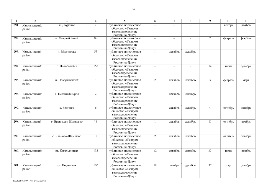
Распоряжение Губернатора Ростовской области от 17.08.2022 № 216
"О внесении изменений в распоряжение Губернатора Ростовской области от 25.04.2018 № 100"
Номер опубликования: 6100202208230001
Дата опубликования: 23.08.2022
Страница №30 из 1185:
Увеличить