Официальное опубликование правовых актов
ОФИЦИАЛЬНОЕ ОПУБЛИКОВАНИЕ
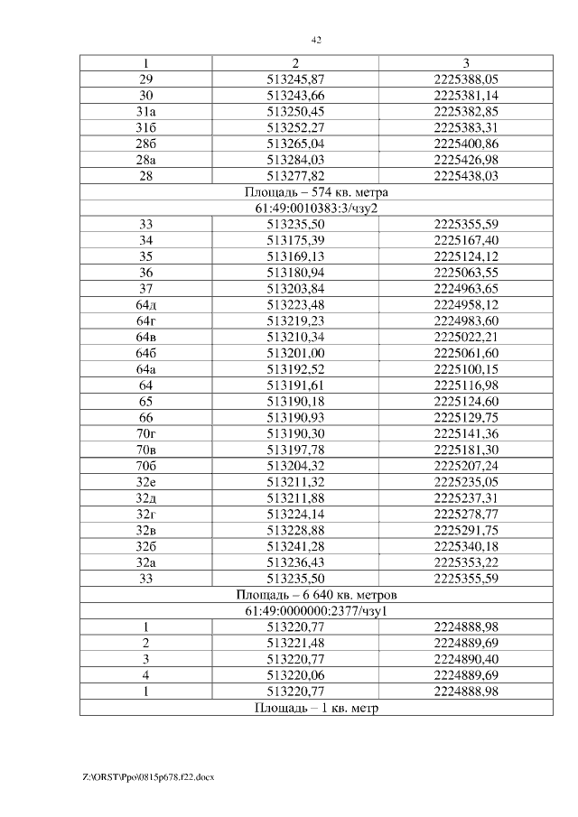
Постановление Правительства Ростовской области от 15.08.2022 № 678
"Об утверждении проекта изменений в проект межевания территории размещения линейного объекта "Строительство канализационных сетей в юго-восточной части г. Гуково"
Номер опубликования: 6100202208170004
Дата опубликования: 17.08.2022
Страница №42 из 74:
Увеличить