Официальное опубликование правовых актов
ОФИЦИАЛЬНОЕ ОПУБЛИКОВАНИЕ
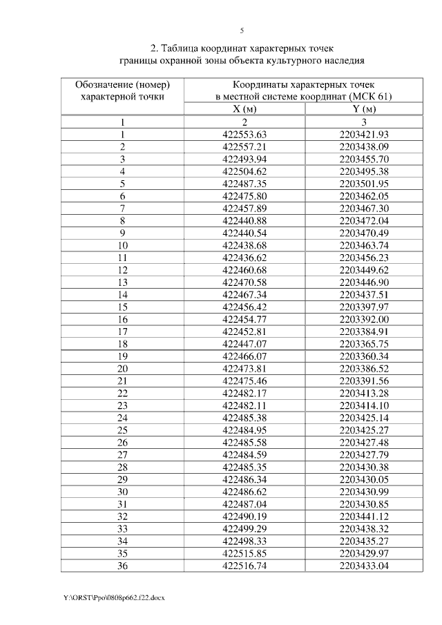
Постановление Правительства Ростовской области от 08.08.2022 № 662
"Об установлении зон охраны объекта культурного наследия регионального значения "Дом Александровского благотворительного общества" и утверждении требований к градостроительным регламентам в границах территорий данных зон"
Номер опубликования: 6100202208110010
Дата опубликования: 11.08.2022
Страница №5 из 11:
Увеличить