Официальное опубликование правовых актов
ОФИЦИАЛЬНОЕ ОПУБЛИКОВАНИЕ
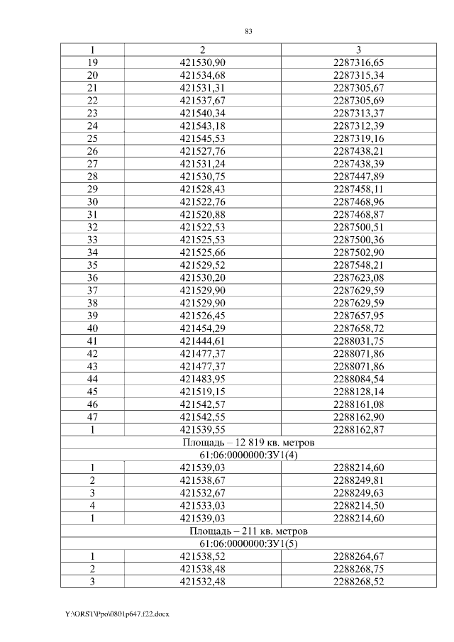
Постановление Правительства Ростовской области от 01.08.2022 № 647
"Об утверждении проекта изменений в проект межевания территории размещения линейного объекта "Газопровод межпоселковый от х. Нижнесоленый к х. Малая Балабинка, х. Цугейкин, п. Садковский Веселовского района с отводами на х. Старокузнецовский, х. Лиманский Семикаракорского района Ростовской области"
Номер опубликования: 6100202208030013
Дата опубликования: 03.08.2022
Страница №83 из 123:
Увеличить