Официальное опубликование правовых актов
ОФИЦИАЛЬНОЕ ОПУБЛИКОВАНИЕ
Постановление Правительства Ростовской области от 18.07.2022 № 603
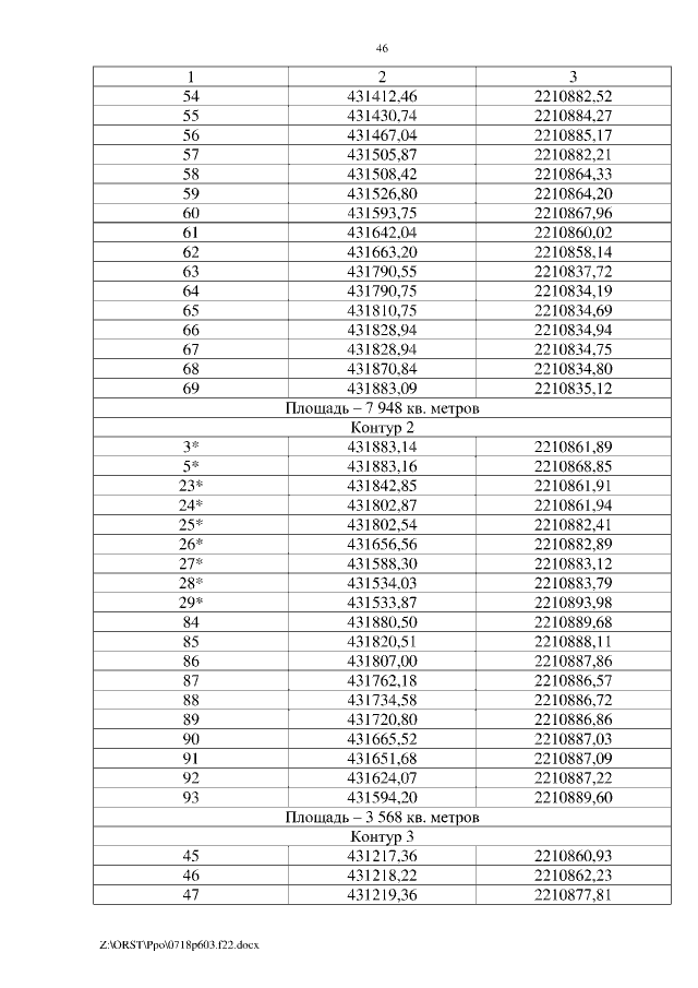
"Об утверждении проекта планировки и проекта межевания территории размещения линейного объекта "Строительство мостового перехода через водохранилище Ростовское море на автомобильной дороге общего пользования регионального значения "Магистраль "Дон" – х. Камышеваха – г. Ростов-на-Дону"
Номер опубликования: 6100202207200011
Дата опубликования: 20.07.2022
Страница №46 из 62:
Увеличить