Официальное опубликование правовых актов
ОФИЦИАЛЬНОЕ ОПУБЛИКОВАНИЕ
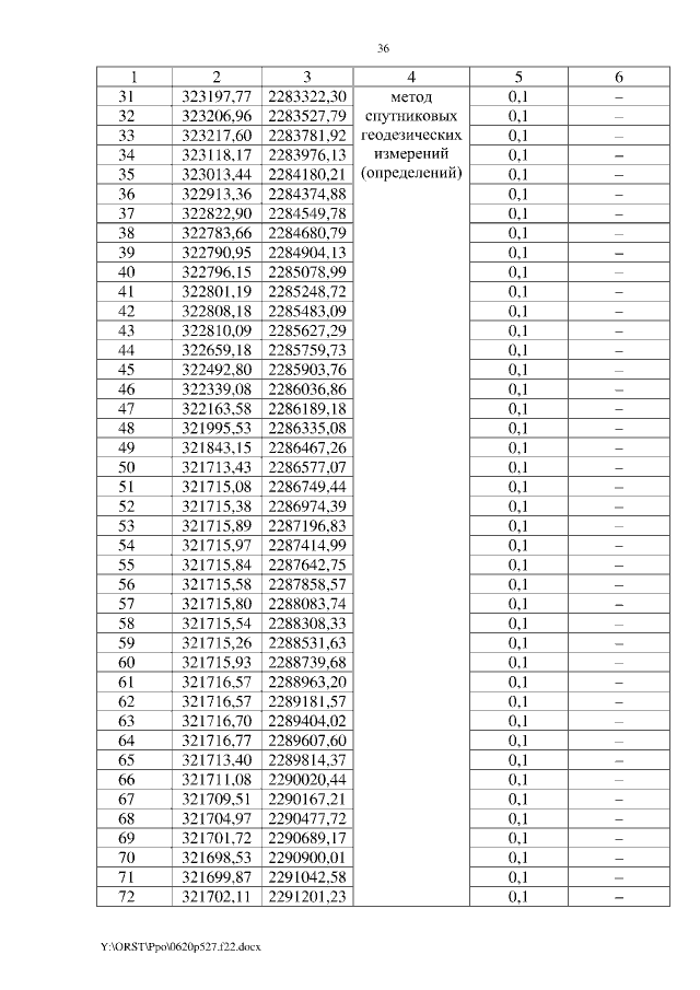
Постановление Правительства Ростовской области от 20.06.2022 № 527
"Об установлении публичного сервитута"
Номер опубликования: 6100202206220011
Дата опубликования: 22.06.2022
Страница №36 из 48:
Увеличить