Официальное опубликование правовых актов
ОФИЦИАЛЬНОЕ ОПУБЛИКОВАНИЕ
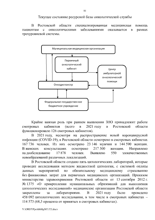
Постановление Правительства Ростовской области от 08.06.2022 № 507
"О внесении изменений в постановление Правительства Ростовской области от 19.06.2019 № 413"
Номер опубликования: 6100202206090008
Дата опубликования: 09.06.2022
Страница №81 из 229:
Увеличить