Официальное опубликование правовых актов
ОФИЦИАЛЬНОЕ ОПУБЛИКОВАНИЕ
Постановление Правительства Ростовской области от 26.05.2022 № 434
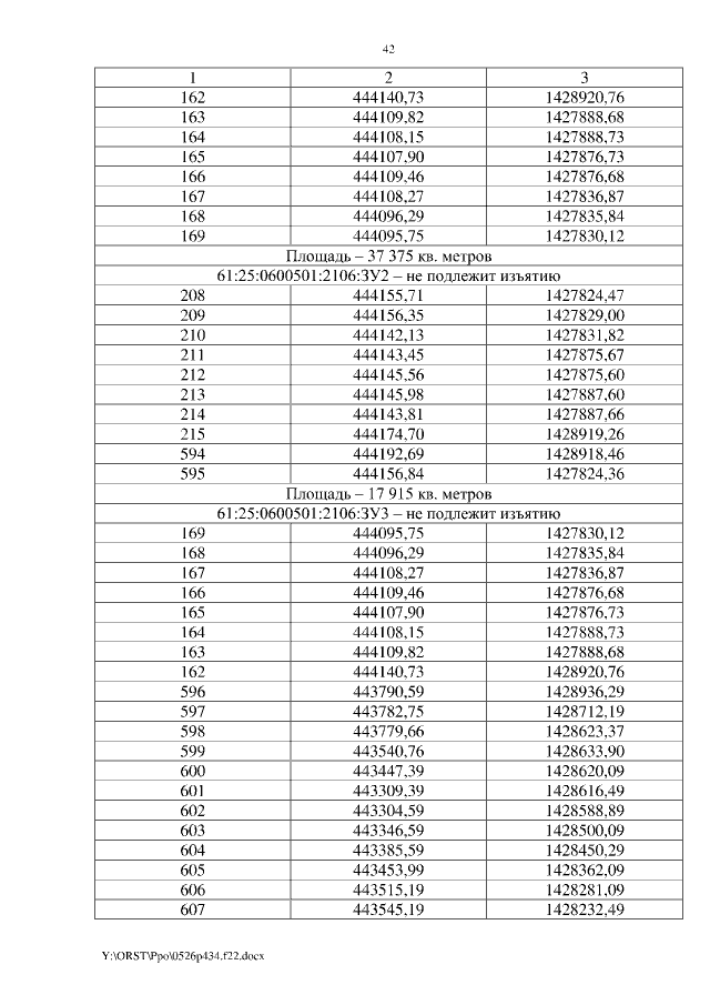
"Об утверждении проекта изменений в проект межевания территории размещения соединительной автомобильной дороги общего пользования регионального значения от а/д "Северный обход г. Ростова-на-Дону" до а/д "г. Ростов-на-Дону – сл. Родионово-Несветайская – г. Новошахтинск" в Аксайском и Мясниковском районах"
Номер опубликования: 6100202205310005
Дата опубликования: 31.05.2022
Страница №42 из 46:
Увеличить