Официальное опубликование правовых актов
ОФИЦИАЛЬНОЕ ОПУБЛИКОВАНИЕ
Постановление Правительства Ростовской области от 16.05.2022 № 415
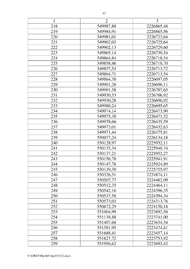
"Об утверждении проекта планировки и проекта межевания территории размещения линейного объекта "Газопровод межпоселковый к х. Верхнекрасный, х. Вишневецкий, х. Михайловка, х. Старая Станица, х. Вязовка Каменского района Ростовской области"
Номер опубликования: 6100202205180013
Дата опубликования: 18.05.2022
Страница №42 из 149:
Увеличить