Официальное опубликование правовых актов
ОФИЦИАЛЬНОЕ ОПУБЛИКОВАНИЕ
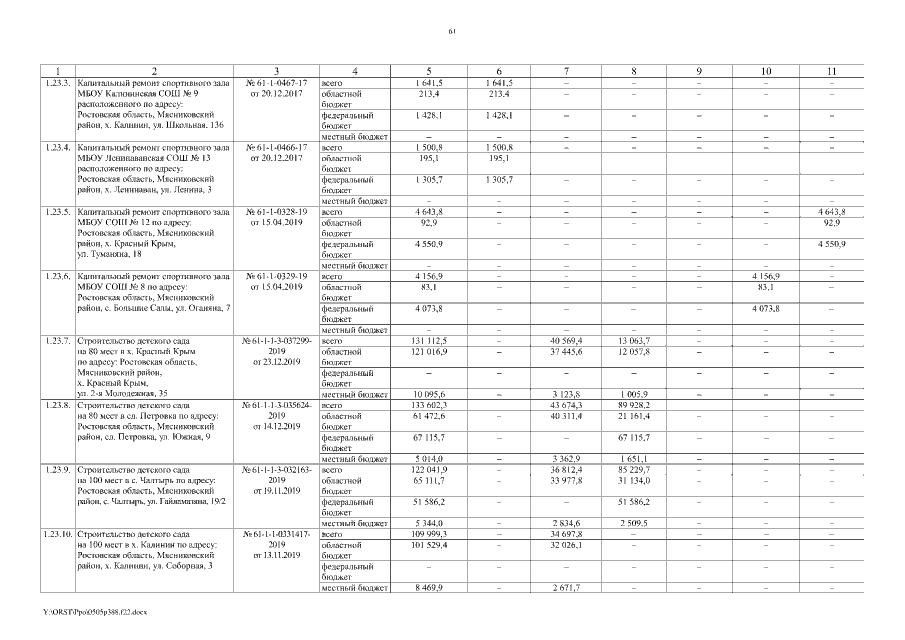
Постановление Правительства Ростовской области от 05.05.2022 № 388
"О внесении изменений в постановление Правительства Ростовской области от 17.10.2018 № 646"
Номер опубликования: 6100202205060007
Дата опубликования: 06.05.2022
Страница №61 из 92:
Увеличить