Официальное опубликование правовых актов
ОФИЦИАЛЬНОЕ ОПУБЛИКОВАНИЕ
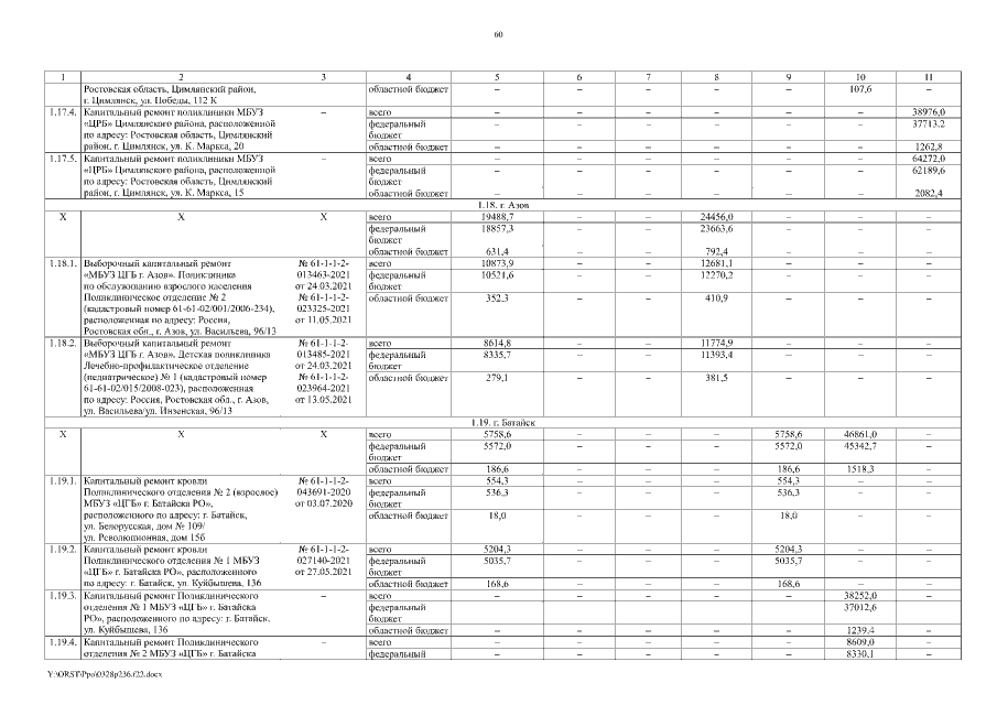
Постановление Правительства Ростовской области от 28.03.2022 № 236
"О внесении изменений в постановление Правительства Ростовской области от 17.10.2018 № 654"
Номер опубликования: 6100202203300002
Дата опубликования: 30.03.2022
Страница №60 из 103:
Увеличить