Официальное опубликование правовых актов
ОФИЦИАЛЬНОЕ ОПУБЛИКОВАНИЕ
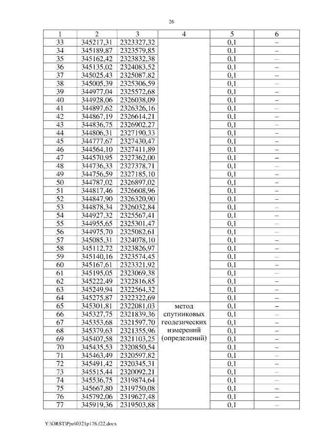
Постановление Правительства Ростовской области от 21.03.2022 № 176
"Об установлении публичного сервитута"
Номер опубликования: 6100202203230031
Дата опубликования: 23.03.2022
Страница №26 из 27:
Увеличить